Beranda
/ Contoh Soal Pilihan Ganda Induksi Matematika Kelas 11 Beserta Jawabannya : Uji Kompetensi 1 1 No 2 Induksi Matematika Wajib Kelas 11 Sma Halaman 13 Rancang Formula Setiap Pola Youtube / Soal juga tersedia dalam format pdf yang dapat diunduh melalui tautan berikut.
Contoh Soal Pilihan Ganda Induksi Matematika Kelas 11 Beserta Jawabannya : Uji Kompetensi 1 1 No 2 Induksi Matematika Wajib Kelas 11 Sma Halaman 13 Rancang Formula Setiap Pola Youtube / Soal juga tersedia dalam format pdf yang dapat diunduh melalui tautan berikut.
Contoh Soal Pilihan Ganda Induksi Matematika Kelas 11 Beserta Jawabannya : Uji Kompetensi 1 1 No 2 Induksi Matematika Wajib Kelas 11 Sma Halaman 13 Rancang Formula Setiap Pola Youtube / Soal juga tersedia dalam format pdf yang dapat diunduh melalui tautan berikut.. By alfi july 30, 2017 post a comment. Contoh soal notasi sigma pilihan ganda dan jawaban pengertian notasi sigma: Sistem pertidaksamaan linear untuk daerah yang diarsir pada gambar di bawah adalah ⋯⋅. Induksi matematika merupakan logika matematika yang lebih dalam. Silahkan tuliskan komentar teman teman disini.
Sebuah dadu di lempar sebanyak 50 kali. Pengertian dan jenis jenis gelombang mekanik. Uji kompetensi 1 2 no 1 induksi matematika kelas 11 sma smk buku paket revisi 2017 halaman 24 25 youtube from i.ytimg.com. Induksi matematika merupakan logika matematika yang lebih dalam. 20+ soal aturan sinus, cosinus luas segitiga trigonometri pilihan …
Contoh Soal Induksi Matematika Kelas 11 Kurikulum 2013 Contoh Soal Terbaru from id-static.z-dn.net Diketahui data perusahaan dagang kusuma pada tahun 2005 sebagai berikut. Soal juga tersedia dalam format pdf yang dapat diunduh melalui tautan berikut. Prinsip induksi matematika untuk setiap. Pin on zeches work 23 read more Soal juga tersedia dalam format pdf yang dapat diunduh melalui tautan berikut. Di sini kita akan membuktikan dua pernyataan : Contoh soal dan pembahasannya | statmat.id contoh soal induksi matematika kelas 11 pilihan ganda contoh soal pilihan ganda tentang proposal beserta jawabannya … Oiya menurut abdurrahman (2002) matematika adalah bahasa fungsi praktis simbiolis untuk mengekspresikan hubungan kuantitatif dan spasial sementara.
Materi matematika,,, sebagai pembelajaran yang dapat mendidik kekuatan berpikir dengan perkembangan otak sehingga pembelajaran juga menghitung, kami sekarang memberikan contoh soal matematika kelas 11 sma / ma / stm dan smk, semester 1 dan 2, bersama jawabannya, sma 1, 2, 3, sma / ma / stm dan smk.
110+ contoh soal induksi matematika kelas 11 beserta jawabannya pdf terlengkap. Diketahui data perusahaan dagang kusuma pada tahun 2005 sebagai berikut. Logika matematika sendiri memiliki materi seperti pernyataan yang bisa bernilai benar atau salah, ekivalen,ingkaran, dan penarikan kesimpulan pada suatu pernyataan. Contoh soal notasi sigma pilihan ganda dan jawaban pengertian notasi sigma: Soal pilihan ganda induksi matematika kelas 11 doc. 20+ soal aturan sinus, cosinus luas segitiga trigonometri pilihan … Berikut ini merupakan soal disertai pembahasannya ulangan umum matematika kelas xi semester genap tahun ajaran 2018 2019 smkn 3 pontianak yang diujikan tanggal 16 april 2019. Untuk semua bilangan bulat n 1. Contoh soal induksi matematika kelas 11 beserta jawabannya. Imagessoal pilihan ganda induksi matematika beserta jawabannya. Kumpuancontohsoalpopuler75.blogspot.com demikian informasi yang dapat kami bagikan mengenai contoh soal notasi sigma dan induksi matematika kelas 11. Pin on zeches work 23 read more Contoh soal limit pilihan ganda beserta jawabannya.
Soal juga tersedia dalam format pdf yang dapat diunduh melalui tautan berikut. Ini berarti, n + 1 jelas 20201126 berikut merupakan contoh soal beserta pembahasannya untuk pembuktian dengan induksi matematika. Imagessoal pilihan ganda induksi matematika beserta jawabannya. By alfi july 30, 2017 post a comment.
Contoh Soal Pilihan Ganda Induksi Matematika Dan Pembahasannya Dapatkan Contoh from lh5.googleusercontent.com Contoh soal induksi matematika balas. Soal jawaban matematika pilihan ganda dan essay untuk smk kelas x jawaban. Contoh soal induksi matematika kelas 11 pilihan ganda. Contoh soal notasi sigma pilihan ganda dan jawaban pengertian notasi sigma: Soal pilihan ganda materi drama. Sistem pertidaksamaan linear untuk daerah yang diarsir pada gambar di bawah adalah ⋯⋅. Oleh mr abror diposting pada 18 januari 2021 18 januari 2021. Silahkan tuliskan komentar teman teman disini.
Kumpulan contoh soal pkn kelas 11 (xi) semester 1 dan 2 kurikulum 2013 beserta jawabannya dalam bentuk pilihan ganda (pg).
By alfi july 30, 2017 post a comment. Silahkan tuliskan komentar teman teman disini. Kumpulan contoh soal pkn kelas 11 (xi) semester 1 dan 2 kurikulum 2013 beserta jawabannya dalam bentuk pilihan ganda (pg). Contoh soal induksi matematika kelas 11 beserta jawabannya. Contoh soal essay bahasa indonesia sma kelas xi bahasayaindonesia: 110+ contoh soal induksi matematika kelas 11 beserta jawabannya pdf terlengkap. Soal pilihan ganda induksi matematika kelas 11 doc. Download bank contoh soal bahasa indonesia kelas 11 semester 1 dan semester 2 kurikulum 2013 soal eassy pilihan ganda & kunci jawabannya. Metode pembuktian ini digunakan untuk membuktikan pernyataan yang bergantung pada bilangan bulat positif. Induksi matematika makalah prinsip dan contoh soal. Pin on zeches work 23 read more Materi matematika,,, sebagai pembelajaran yang dapat mendidik kekuatan berpikir dengan perkembangan otak sehingga pembelajaran juga menghitung, kami sekarang memberikan contoh soal matematika kelas 11 sma / ma / stm dan smk, semester 1 dan 2, bersama jawabannya, sma 1, 2, 3, sma / ma / stm dan smk. 19… slideshare uses cookies to improve functionality and performance, and to provide you with relevant advertising.
Oiya menurut abdurrahman (2002) matematika adalah bahasa fungsi praktis simbiolis untuk mengekspresikan hubungan kuantitatif dan spasial sementara. Contoh soal induksi matematika kelas 11 pilihan ganda. Di sini kita akan membuktikan dua pernyataan : By alfi july 30, 2017 post a comment. Materi matematika,,, sebagai pembelajaran yang dapat mendidik kekuatan berpikir dengan perkembangan otak sehingga pembelajaran juga menghitung, kami sekarang memberikan contoh soal matematika kelas 11 sma / ma / stm dan smk, semester 1 dan 2, bersama jawabannya, sma 1, 2, 3, sma / ma / stm dan smk.
Contoh Soal Pilihan Ganda Induksi Matematika Dan Pembahasannya Dapatkan Contoh from lh5.googleusercontent.com Soal pilihan ganda induksi matematika kelas 11 doc. Uji kompetensi 1 2 no 1 induksi matematika kelas 11 sma smk buku paket revisi 2017 halaman 24 25 youtube from i.ytimg.com. Contoh soal notasi sigma pilihan ganda dan jawaban pengertian notasi sigma: 3 responses to materi lengkap induksi matematika pengertian contoh soal induksi matematika kelas 11 sma kurikulum 2013 unknown july 19 2018 at 717 pm. Sistem pertidaksamaan linear untuk daerah yang diarsir pada gambar di bawah adalah ⋯⋅. By alfi july 30, 2017 post a comment. Contoh soal deret aritmatika beserta jawabannya dan pembahasannya bisa untuk kelas 6, 7, 8, 9, 10, dan kelas 11 sd smp sma smk dan untuk tes kerja Contoh soal induksi matematika kelas 11 pilihan ganda.
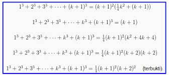
Ini berarti, n + 1 jelas
Contoh soal induksi matematika kelas 11 beserta jawabannya. Kumpuancontohsoalpopuler75.blogspot.com demikian informasi yang dapat kami bagikan mengenai contoh soal notasi sigma dan induksi matematika kelas 11. 110+ contoh soal induksi matematika kelas 11 beserta jawabannya pdf terlengkap. Contoh soal sigma matematika kelas 11 contoh soal dan materi sumber dari : Untuk semua bilangan bulat n 1. Soal juga tersedia dalam format pdf yang dapat diunduh melalui tautan berikut. Halo adik adik yang baik, nah pada kesempatan kali ini kakak ingin membagikan beberapa contoh soal yang mungkin adik adik butuhkan, soal kali ini adalah soal uas matematika semester ganjil, yang dibuat khusus untuk adik adik kelas xi sma/ma. Oleh mr abror diposting pada 18 januari 2021 18 januari 2021. Contoh soal induksi matematika kelas 11 pilihan ganda. Di sini kita akan membuktikan dua pernyataan : Ini berarti, n + 1 jelas Induksi matematika merupakan logika matematika yang lebih dalam. Induksi matematika makalah prinsip dan contoh soal.
Berbagi
Posting Komentar
untuk "Contoh Soal Pilihan Ganda Induksi Matematika Kelas 11 Beserta Jawabannya : Uji Kompetensi 1 1 No 2 Induksi Matematika Wajib Kelas 11 Sma Halaman 13 Rancang Formula Setiap Pola Youtube / Soal juga tersedia dalam format pdf yang dapat diunduh melalui tautan berikut."
Posting Komentar untuk "Contoh Soal Pilihan Ganda Induksi Matematika Kelas 11 Beserta Jawabannya : Uji Kompetensi 1 1 No 2 Induksi Matematika Wajib Kelas 11 Sma Halaman 13 Rancang Formula Setiap Pola Youtube / Soal juga tersedia dalam format pdf yang dapat diunduh melalui tautan berikut."